Jiazhen's Algebra I
Thursday, October 28, 2010
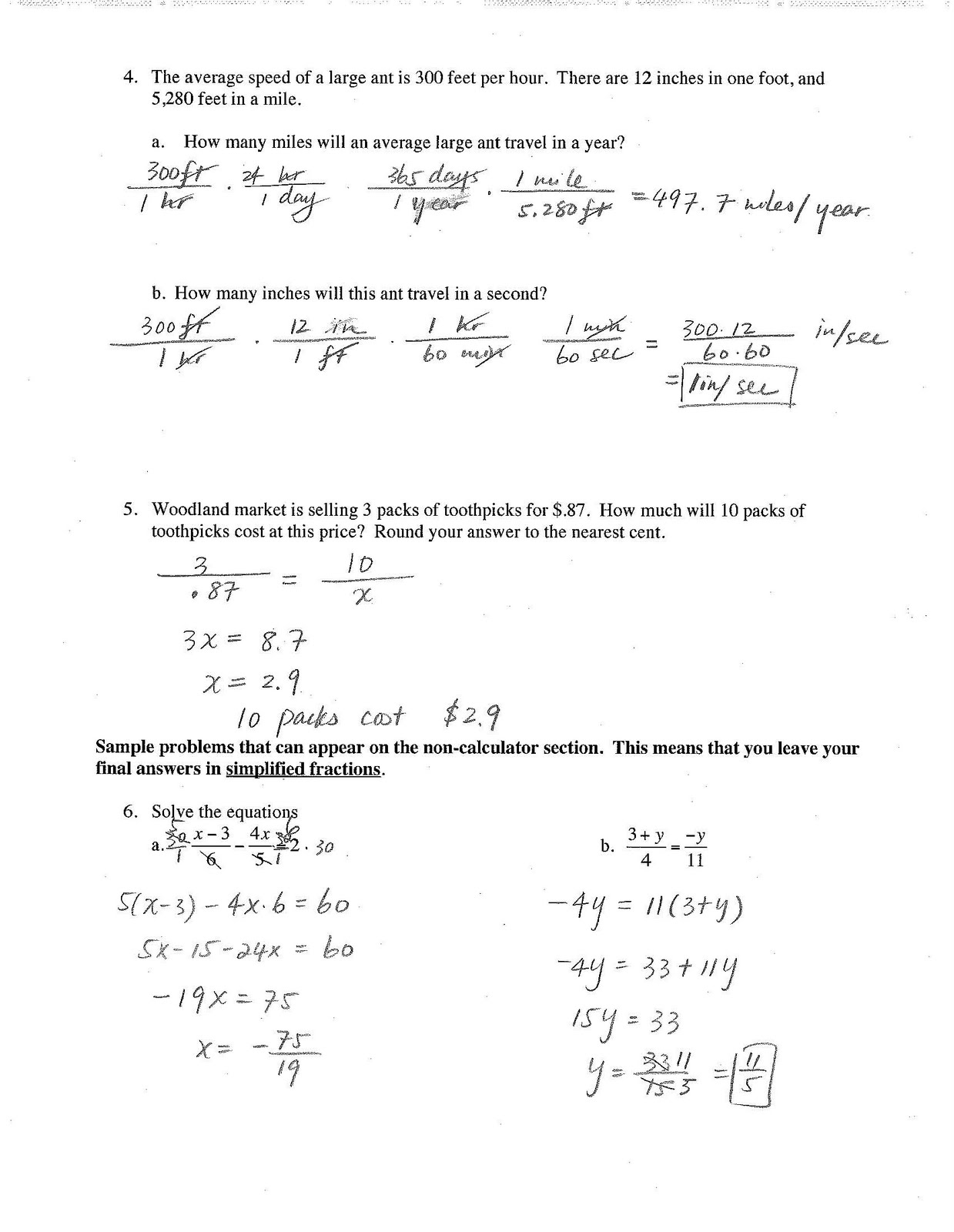
Unit 2 Test Review Sheet with Answer Key!
Here we go guys! Check the answers out. There will be a 10-minute question and answer block with Beau at the beginning of your test.
I know you guys will be taken care of with Beau. She's awesome!
No comments:
Post a Comment
Newer Post
Older Post
Home
Subscribe to:
Post Comments (Atom)
No comments:
Post a Comment